Laman Pengajian Perniagaan Stpm Cikgu Azly Power I Think Bab 2 Penggal 2 Aspek Perundangan Perniagaan
Bab 1 Anjung Pengajian Perniagaan Stpm
Nota Ringkas Pengajian Perniagaan P2 Mohd Nazren Bin Saparudin
Bab 1 Anjung Pengajian Perniagaan Stpm
Nota 2 1 Skop Dan Proses Pengeluaran
Bab 1 Anjung Pengajian Perniagaan Stpm
Pengajian Perniagaan P2 Bab2
Bab 1 Anjung Pengajian Perniagaan Stpm
Little Panda Nota Pengajian Perniagaan Penggal 1 Bab 1
Nota 2 1 Skop Dan Proses Pengeluaran
Bab 1 Anjung Pengajian Perniagaan Stpm
Penggal 2 Pengajian Perniagaan Bab 4
Nota Bab 1 Pengajian Perniagaan
Bab 1 Anjung Pengajian Perniagaan Stpm
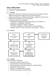
Pengajian Perniagaan Bab 2 Penggal 1 Bab 2 Pengeluarancabaran Pengurus Pengeluaran 1 Cabaran Teknologi Baru 2 Penjagaan Alam Sekitar 3 Pengeluaran Course Hero